Kumpulan Soal Matriks. Pembahasan kali ini merupakan soal matriks dari kelas 11 sma. Kumpulan bilangan, simbol, atau ekspresi, berbentuk persegi panjang yang disusun menurut baris dan kolom. Bank soal un matematika sma operasi matriks. Rangkuman, contoh soal matriks jawaban +pembahasan. 21% menganggap dokumen ini tidak bermanfaat, tandai dokumen ini sebagai tidak bermanfaat. 1− x 2 = 0 ⇔ (1 − x) (3 − x ) − 8 =. Dibawah ini dibahas contoh soal matriks invers, matriks perkalian, dan matriks transpose, penjumlahan, dan pengurangan beserta pembahasan dan jawabannya…. Bukan hanya membaca materi saja tapi berlatih dengan latihan soal yang cukup pun dibutuhkan untuk menghadapi segala macam bentuk soal. Contoh soal matriks mapel matematika kelas 11 akan dibahas di artikel kursiguru kali ini. Jika c = ab, tentukanlah invers dari matriks c tersebut. Demikian kumpulan soal matriks seleksi masuk ptn lengkap dengan pembahasannya. Kumpulan soal tentang determinan matriks beserta jawaban. Kelas 11 » kumpulan, contoh, soal, contoh, soal, matriks, kelas, 11 tags: Beberapa sifat matriks adalah sebagai berikut. Kumpulan foto dan gambar contoh soal terlengkap yang ada di internet.

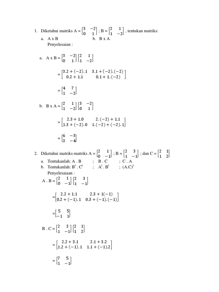
Soal matriks
Soal matriks from www.scribd.com

Rangkuman, contoh soal matriks jawaban +pembahasan. Materi kumpulan contoh soal matriks invers, matriks perkalian penjumlahan, dan matriks transpose beserta pembahasan dan jawabannya. Mengenal pengertian ordo matriks, menentukan determinan suatu matriks, menentukan nilai x yang memenuhi persamaan matriks, dan konsep kesamaan matriks. Simpan 20 soal dan jawaban untuk matriks untuk nanti. Bank soal un matematika sma operasi matriks. Tandai sebagai konten tidak pantas. Contoh soal matriks beserta pembahasannya. 79% menganggap dokumen ini bermanfaat, tandai dokumen ini sebagai bermanfaat. Dari beberapa soal yang pernah keluar dalam ujian nasional matematika, model soal matriks yang paling sering muncul adalah menentukan invers dari suatu matriks, menentukan perkalian matriks, menentukan determinan dari hasil kali invers matriks, menentukan transpose matriks, dan menentukan nilai koefisien berdasarkan konsep kesamaan matriks. Advertisements pemakaian matriks di perhitungan matematika ditujukan untuk menyederhanakan tampilan data sehingga akan.

Meskipun Demikian, Latihan Soal Tentang Matriks Tetap Menjadi Kunci Utama Untuk Memahami Materi Tersebut.


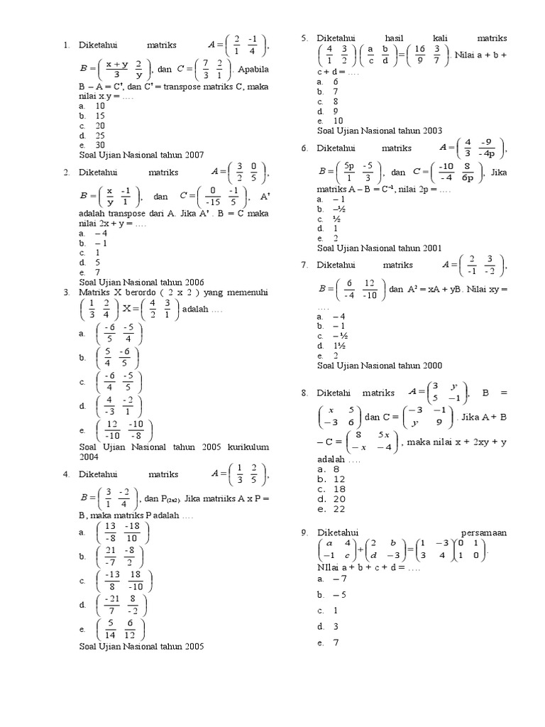
Demikian kumpulan soal matriks seleksi masuk ptn lengkap dengan pembahasannya. Kelas 11 » kumpulan, contoh, soal, contoh, soal, matriks, kelas, 11 tags: Diketahui matriks a = dan i = 0 1. Contoh soal matriks beserta pembahasannya. Diketahui a = , b = , c = , tentukan : 1− x 2 = 0 ⇔ (1 − x) (3 − x ) − 8 =. Tandai sebagai konten tidak pantas. Bukan hanya membaca materi saja tapi berlatih dengan latihan soal yang cukup pun dibutuhkan untuk menghadapi segala macam bentuk soal. 21% menganggap dokumen ini tidak bermanfaat, tandai dokumen ini sebagai tidak bermanfaat.

Soal Dan Pembahasan Matriks, Contoh Soal Matriks Kelas 11.


Jika a = dan b = adalah =…. Pembahasan kali ini merupakan soal matriks dari kelas 11 sma. Kumpulan foto dan gambar contoh soal terlengkap yang ada di internet. Dalam ilmu matematika matriks adalah susunan bilangan, simbol, atau ekspresi yang disusun dalam baris dan kolom sehingga membentuk suatu bangun persegi. 79% menganggap dokumen ini bermanfaat, tandai dokumen ini sebagai bermanfaat. Matriks operasi matriks rumus contoh soal matriks dan jawabannya lengkap dalam matematika matriks adalah susunan bilangan simbol atau ekspresi yang disusun dalam baris dan kolom sehingga membentuk suatu bangun persegi. Prediksi simulasi kisi kisi soal unbk sma ma ma smk dan mak tahun ajaran 20192020 contoh soal un lengkap dengan kunci jawaban. Dimana matriks sendiri merupakan penggambaran hasil transformasi fungsi linear dalam bentuk baris dan kolom yang tersusun atas angka atau objek lainya. Semoga artikel ini bermanfaat untuk kita semua.

Kumpulan Lengkap Contoh Soal Matriks Dan Jawabannya Kelas 10 Brainly.


Kelas 11 kelas 11 umur berapa kelas 11 romawi kelas 11 matematika wajib kelas 11 dalam bahasa jepang kelas 11 online smansa depok kelas 11 bahasa indonesia kelas 11 pendidikan agama islam persamaan trigonometri kelas 11 materi fisika kelas 11 buku bahasa. Matriks merupakan salah satu materi matematika yang dipelajari saat tingkat sma/sederajat. Bank soal un matematika sma operasi matriks. Diketahui matriks a = ,b= , dan c =. Jika ada kritik dan saran, langsung saja ketikkan komentar pada kolom kontar di bagian bawah setiap artikel. Dari beberapa soal yang pernah keluar dalam ujian nasional matematika, model soal matriks yang paling sering muncul adalah menentukan invers dari suatu matriks, menentukan perkalian matriks, menentukan determinan dari hasil kali invers matriks, menentukan transpose matriks, dan menentukan nilai koefisien berdasarkan konsep kesamaan matriks. A + c = tidak dapat dijumlah karena ordonya tidak sama. Cara apa aja sih yang digunakan pada operasi matriks? Advertisements pemakaian matriks di perhitungan matematika ditujukan untuk menyederhanakan tampilan data sehingga akan.

Related Posts